2d Vector

If you are looking for 2d Vector you've come to the right place. We have 24 images about 2d Vector including images, pictures, photos, wallpapers, and more. In these page, we also have variety of images available. Such as png, jpg, animated gifs, pic art, logo, black and white, transparent, etc.

vector plotter  vectorifiedcom collection   vector plotter

Not only 2d Vector, you could also find another pics such as Graphing Projections, Physics Examples, Kinematics Cheat Sheet, Dot Product, Physics Components, Vector Product, Game Background, Animation Examples, Animation Jpg, Second Quadrant, Drawing Software, and Point Marker.

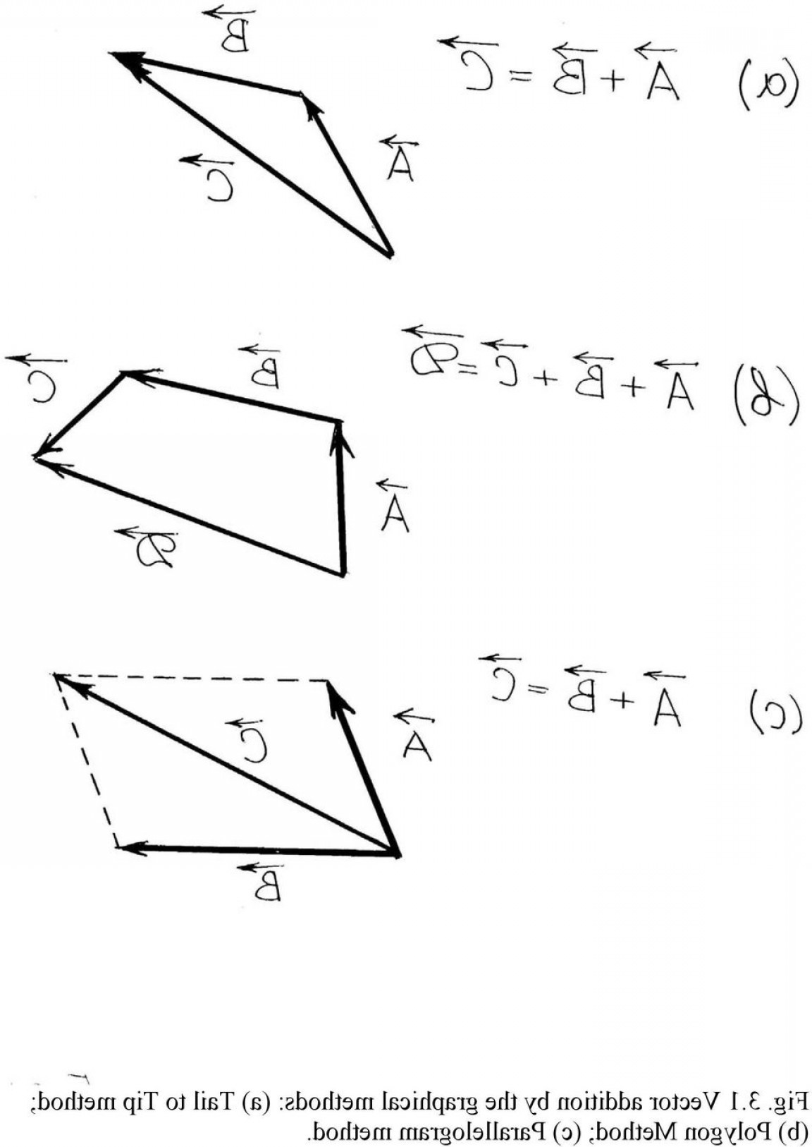
dimensional vector  vectorifiedcom collection 1152×1626

dimensional vector vectorifiedcom collection

View Image
More Like This

vector plotter  vectorifiedcom collection   vector plotter 512×512

vector plotter vectorifiedcom collection vector plotter

View Image
More Like This

vector graph  vectorifiedcom collection   vector graph 620×512

vector graph vectorifiedcom collection vector graph

View Image
More Like This

vector math wymhacks 700×440

vector math wymhacks

View Image
More Like This

vector grapher  vectorifiedcom collection   vector grapher 1300×1300

vector grapher vectorifiedcom collection vector grapher

View Image
More Like This

premium vector  vector illustration 626×626

premium vector vector illustration

View Image
More Like This

vector geometry 768×1024

vector geometry

View Image
More Like This

vector character prompts stable diffusion 1024×1024

vector character prompts stable diffusion

View Image
More Like This

elements vector art icons  graphics 1400×700

elements vector art icons graphics

View Image
More Like This

vector geometry solutions examples 417×469

vector geometry solutions examples

View Image
More Like This

vector 768×1024

vector

View Image
More Like This

modern mechanical  vector illustration stable diffusion 1024×1024

modern mechanical vector illustration stable diffusion

View Image
More Like This

drawing vector examples  cristal lawrence blog 960×720

drawing vector examples cristal lawrence blog

View Image
More Like This

vector mathematics  geometry 768×1024

vector mathematics geometry

View Image
More Like This

sometric  vector  graph desgin png transparent clipart image 1200×1200

sometric vector graph desgin png transparent clipart image

View Image
More Like This

businessman  vector isolated spot illustration stock vector image 1300×1035

businessman vector isolated spot illustration stock vector image

View Image
More Like This

vector mathematics 368×295

vector mathematics

View Image
More Like This

vector   naukri code 1200×700

vector naukri code

View Image
More Like This

vector basics   numerade 1024×674

vector basics numerade

View Image
More Like This

linear algebra understanding  space defined    dimensional 1410×826

linear algebra understanding space defined dimensional

View Image
More Like This

vector math  polar movement   games unity terresquall blog 1600×900

vector math polar movement games unity terresquall blog

View Image
More Like This

outline simple vector monochrome coloring page cute  cat 1024×1024

outline simple vector monochrome coloring page cute cat

View Image
More Like This

math calculating    vector     vectors 585×316

math calculating vector vectors

View Image
More Like This

basic vector algebra   dimension   dimension 453×640

basic vector algebra dimension dimension

View Image
More Like This

Don't forget to bookmark 2d Vector using Ctrl + D (PC) or Command + D (macos). If you are using mobile phone, you could also use menu drawer from browser. Whether it's Windows, Mac, iOs or Android, you will be able to download the images using download button.

Search Results for: 2d Vector

Maaf, tidak ada yang cocok pencarian Anda. Silahkan coba lagi dengan kata kunci yang berbeda.